泵的裝置揚程定義和計算
發布時間:2013-5-3 14:55:30 來源:海坦泵業 點擊次數:7015
無限多葉片的離心泵對單位重量的理想流體所提供的的能量稱為理論壓頭或理論揚程。裝置揚程即裝置出口處單位重量流體的能量與裝置進口處單位重量流體所具有能量只差,單位為m 。
對于如圖10-1所示的流柱,根據能量守恒定律,計算戴面的能量:

圖10-1 流體流動中各參數示意圖
(10-1)
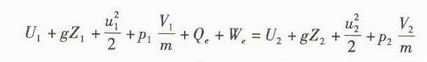
(10-2)
上式為流動系統的熱力學定律,式中ひ=V2/M=1/P
如果流體不可壓縮(V=V),沒有熱量輸入(Qe=o),等溫(U=U2)流動,
考慮阻力做功∑h∮
則有:
(10-3)
如果沒有外功加入,理想流動(阻力忽略),則有
(10-4)
式10-4即為伯努利方程式(Bernoulli Equation)。
上式表明,理想流體流動時,各種形式的能量可以相互轉化,但總能量不變。
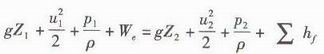
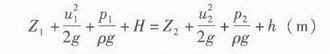
如果等式左右同時除以g,考慮輸入的壓頭和阻力壓頭,則有
(10-5)
式中 H—如果是泵的供應的能量,也叫揚程(m):
H—阻力(m)。
根據伯怒利方程式計算裝置的揚程。
(10-6)
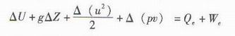
將式(1-11)乘以pg,得
(10-7)
式(10-3)、式(10-5)、式(10-7)都稱為擴展的伯努利方程。
泵的揚程表征本身的性能,只和泵、出口法蘭處液體的能量有關,而和泵裝置無直接關系。但利用能量方程,可以用泵裝置中液體的能量表示泵的揚程。
